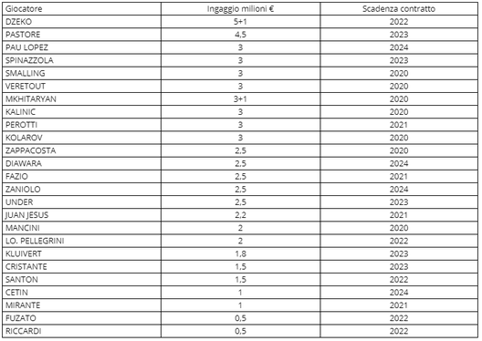
NEWS ROMA - L'esempio della Juventus sul taglio stipendi ai propri calciatori e allenatore, può essere seguito da tutti gli altri club. La Roma è chiaramente tra questi. I giallorossi hanno ad oggi un monte-ingaggi per questa stagione di circa 90 milioni di euro, solo per i calciatori (circa 180 milioni lordi).
news milan
Taglio Stipendi ‘stile Juventus’: quanto risparmierebbe la Roma
Facciamo i conti in tasca alla Roma. Quanto risparmierebbe il club giallorosso se venisse approvato il taglio stipendi del 30% per calciatori e allenatore?
Qualora si seguisse l'esempio del club bianconero, ovvero con un taglio stipendi del 30% (nello specifico i mesi di marzo, aprile, maggio e giugno), la Roma andrebbe a risparmiare circa 30 milioni di euro netti (circa 60 milioni lordi). A questi va aggiunto lo stipendio di 2,5 milioni di euro netti che percepisce Paulo Fonseca. Un risparmio estremamente importante, che permetterebbe al club giallorosso, di ridurre le perdite legate ai mancati introiti dello stadio, sponsor vari ed eventuali diritti tv.

Vedremo se da qui ai prossimi giorni possano emergere novità in tal senso, se giocatori e allenatore accetteranno il taglio stipendi. Abbiamo fatto anche i conti in tasca al Milan: ecco quanto risparmierebbe il club rossonero: i dettagli >>>
© RIPRODUZIONE RISERVATA

